Задача 2. По выборке объёма N=100 двумерной генеральной совокупности, представленной таблицей

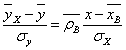
Написать уравнение линейной регрессии для условного математического ожидания
на X в виде
, где 
Сделать схематический чертёж.
30 ₽
Подробнее о покупке решения задачи
- Стоимость решения: всего 30 ₽ (решение с нуля обычно от 50-100 ₽)
- Скорость: файл придет на почту сразу после оплаты
- Способы оплаты: СМС, банковская карта, Яндекс.Деньги
- Файл: в формате pdf (корректно открывается c любого устройства, в том числе с телефона)
- Решение: подробное, набрано в Word, с использованием редактора формул, снабжено пояснениями
- Срок: решение доступно к скачиванию на сайте 24 часа после оплаты
- Поддержка: если что-то пошло не так, всегда готовы помочь
Нужны еще задачи? Найди прямо сейчас: