Меню

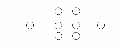
Задача 3669. Вероятность безотказной работы в течение времени Т каждого элемента равна Р. Элементы работают независимо и включены по схеме (см.ниже). Найти вероятность, что в течение времени Т ток в цепи не прекратится.

30 ₽

Подробнее о покупке решения задачи

  • Стоимость решения: всего 30 ₽ (решение с нуля обычно от 50-100 ₽)
  • Скорость: файл придет на почту сразу после оплаты
  • Способы оплаты: СМС, банковская карта, Яндекс.Деньги
  • Файл: в формате pdf (корректно открывается c любого устройства, в том числе с телефона)
  • Решение: подробное, набрано в Word, с использованием редактора формул, снабжено пояснениями (см. примеры решений)
  • Срок: решение доступно к скачиванию на сайте 24 часа после оплаты
  • Поддержка: если что-то пошло не так, всегда готовы помочь

Нужны еще задачи? Найди прямо сейчас: